key 的本质
在关系型数据库中,有一个 primary key 的概念,这个其实和这里的 key 有一定的相似性。

在关系型数据库中,primary key 用于标记这条数据的唯一性,因此在上表中只有 id 这个字段能够作为主键,另外 3 个字段都不行。
那么为什么需要对一条数据做唯一性标识呢?那就是方便精准的查找。这就好比现实生活中的身份证号,所有人都是独一无二的,你名字可能相同、年龄、性别这些都可能相同,而身份证号则是每个人的一个唯一标识,能够精准找到这个人。
Vue 中的 key,道理就是一样的,key 其实也是用来做唯一标识,谁的唯一标识呢,就是虚拟节点 VNode 的唯一标识。
不采用复用策略
假设更新前的虚拟 DOM 为:
const oldVNode = {
type: "div",
children: [
{ type: "p", children: "1" },
{ type: "p", children: "2" },
{ type: "p", children: "3" },
],
};<div>
<p>1</p>
<p>2</p>
<p>3</p>
</div>更新后的虚拟 DOM 为:
const newVNode = {
type: "div",
children: [
{ type: "p", children: "4" },
{ type: "p", children: "5" },
{ type: "p", children: "6" },
],
};如果完全不采用复用策略,那么当更新子节点的时候,需要执行 6 次 DOM 操作。

- 卸载所有旧的子节点,需要 3 次 DOM 的删除操作
- 挂载所有新的子节点,需要 3 次 DOM 的添加操作
通过观察我们发现,VNode 的变化,仅仅是 p 元素的子节点(文本节点)发生变化,p 元素本身其实没有任何的变化。因此最为理想的做法是更新这个 3 个 p 元素的文本节点内容,这样只会涉及到 3 次 DOM 操作,性能提升一倍。
采用复用策略
先考虑更新前后长度不变、类型不变的情况
这里可以写出如下的伪代码:
function patchChildren(n1, n2, container) {
if (typeof n2.children === "string") {
// 说明该节点的子节点就是文本节点
// ...
} else if (Array.isArray(n2.children)) {
// 说明该节点的子节点也是数组
const oldChildren = n1.children; // 旧的子节点数组
const newChildren = n2.children; // 新的子节点数组
// 目前假设长度没有变化
for (let i = 0; i < oldChildren.length; i++) {
// 对文本子节点进行更新
patch(oldChildren[i], newChildren[i]);
}
} else {
// 其他情况
// ...
}
}考虑长度发生变化的情况
- 对于新节点更多的情况,那就需要挂载新的节点

- 对于新节点变少的情况,那就需要卸载多余的旧节点

因此我们的伪代码会发生一些变化:
function patchChildren(n1, n2, container) {
if (typeof n2.children === "string") {
// 说明该节点的子节点就是文本节点
// ...
} else if (Array.isArray(n2.children)) {
// 说明该节点的子节点也是数组
const oldChildren = n1.children; // 旧的子节点数组
const newChildren = n2.children; // 新的子节点数组
// 存储一下新旧节点的长度
const oldLen = oldChildren.length; // 旧子节点数组长度
const newLen = newChildren.length; // 新子节点数组长度
// 接下来先找这一组长度的公共值,也就是最小值
const commonLength = Math.min(oldLen, newLen);
// 先遍历最小值,把该处理的节点先跟新
for (let i = 0; i < commonLength; i++) {
// 对文本子节点进行更新
patch(oldChildren[i], newChildren[i]);
}
// 然后接下来处理长度不同的情况
if (newLen > oldLen) {
// 新节点多,那么就做新节点的挂载
for (let i = commonLength; i < newLen; i++) {
patch(null, newChildren[i], container);
}
} else if (oldLen > newLen) {
// 旧节点多,做旧节点的卸载
for (let i = commonLength; i < oldLen; i++) {
unmount(oldChildren[i]);
}
}
} else {
// 其他情况
// ...
}
}考虑类型发生变化
const oldVNode = {
type: "div",
children: [
{ type: "p", children: "1" },
{ type: "div", children: "2" },
{ type: "span", children: "3" },
],
};const newVNode = {
type: "div",
children: [
{ type: "span", children: "3" },
{ type: "p", children: "1" },
{ type: "div", children: "2" },
],
};按照目前上面的设计,当遇到这种情况的时候,通通不能复用,又回到最初的情况,需要 6 次 DOM 的操作。
但是我们稍作观察,会发现上面的例子中仅仅是元素标签移动了位置,因此最理想的情况是移动 DOM 即可,这样也能达到对 DOM 节点的复用。
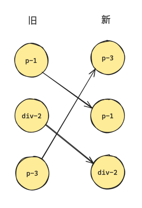
这里涉及到一个问题:如何确定是同一个类型能够复用的节点?
如果仅仅只是判断 VNode 的 type 值是否相同,这种方式并不可靠!
const oldVNode = {
type: "div",
children: [
{ type: "p", children: "3" },
{ type: "div", children: "2" },
{ type: "p", children: "1" },
],
};const newVNode = {
type: "div",
children: [
{ type: "p", children: "1" },
{ type: "p", children: "3" },
{ type: "div", children: "2" },
],
};在这种情况下,没有办法很好的有一个对应关系,因为有多种相同类型的节点。

加入 key 标识
key 相当于给每一个 VNode 一个身份证号,通过这个身份证号就可以找到唯一的那个 VNode,而非多个。
const oldVNode = {
type: "div",
children: [
{ type: "p", children: "3", key: 1 },
{ type: "div", children: "2", key: 2 },
{ type: "p", children: "1", key: 3 },
],
};const newVNode = {
type: "div",
children: [
{ type: "p", children: "1", key: 3 },
{ type: "p", children: "3", key: 1 },
{ type: "div", children: "2", key: 2 },
],
};
因此,在实际的判断中,如果 VNode 的 type 属性和 key 属性都相同,那么就说明是同一组映射,并且在新旧节点中都出现了,那么就可以进行 DOM 节点的复用。
哪怕没有 key,我在旧节点中找到一个类型相同的,就复用该 DOM 节点,这样的设计不行么?
实际上,在没有 key 的情况下,Vue 内部采用的就是这样的复用策略,这种策略在 Vue 中被称之为“就地更新”策略。这种策略默认是高效的,但是这种复用策略仅仅是保证 DOM 节点的类型对上了,如果节点本身还依赖子组件状态或者临时 DOM 状态,由于这种复用策略没有精准的对上号,因此会涉及到子组件状态或者临时 DOM 状态的还原。
举个例子,假设旧节点是三个男生,新节点也是三个男生

如果不考虑其他的因素,只考虑是否是男生,然后简单的把名字变一下,那么这种就地复用的策略是非常高效。
但是很多时候依赖子组件状态或者临时的 DOM 状态:

在这种情况下,就地复用的策略反而是低效的,因为涉及到子组件状态或者临时的 DOM 状态的恢复。
因此在这个时候,最好的方式就是加上 key,让新旧节点能够精准的对应上。

还有一点需要注意,那就是 避免使用下标来作为 key 值。使用下标作为 key 值时,如果列表中的元素顺序发生变化,Vue 会复用错误的元素,导致不必要的 DOM 更新和渲染错误。
例如,当你在列表中插入或删除元素时,使用下标会使得每个元素的 key 发生变化,导致 Vue 不能正确识别元素,从而导致状态和数据的不一致。
// 初始状态
[
{ id: 1, text: "Item 1" },
{ id: 2, text: "Item 2" },
{ id: 3, text: "Item 3" },
][
// 删除第二个元素后的状态
({ id: 1, text: "Item 1" }, { id: 3, text: "Item 3" })
];在这种情况下,如果使用下标作为 key 值,当删除第二个元素后,第三个元素的下标会从 2 变为 1,这会使 Vue 误以为原本的第三个元素和第二个元素是同一个,从而导致错误的更新。
总结
key 本质上就是给 VNode 节点做唯一性标识,算是 VNode 的一个身份证号。
特别是在渲染列表时。key 的作用主要有以下几点:
- 高效的更新: key 帮助 Vue 识别哪些元素是变化的、哪些是新的、哪些是需要被移除的。
- 在没有 key 的情况下,Vue 会尽量复用已有元素,而不管它们的实际内容是否发生了变化,这可能导致不必要的更新或者错误的更新。
- 通过使用 key,Vue 可以准确地知道哪些元素发生了变化,从而高效地更新 DOM。
- 确保元素的唯一性: key 属性需要是唯一的,这样每个元素在列表中都可以被唯一标识。这避免了在元素移动、插入或删除时出现混淆,确保 Vue 可以正确地追踪每个元素。
- 提升渲染性能: 使用 key 可以显著提升列表渲染的性能。因为 Vue 能通过 key 快速定位到需要更新的元素,而不是重新渲染整个列表。尤其在处理大型列表时,使用 key 可以避免大量不必要的 DOM 操作,提升应用的响应速度。
-EOF-